Log Out Button
Eliminated accidental system log offs.
Added a log out message that displays if Log Out is clicked. If the Log Out button was accidentally clicked, this gives you the opportunity to answer No and continue operations.
Effective Date Pop-up
Added an option, Do Not Show Effective Date Pop-up, to Store Level Options/Rx Filling. Selecting the option prevents the message, Effective Date of Rx is a future date. Consultation with prescriber is advised. Do you wish to fill?, from displaying on the Rx Summary screen during prescription processing (i.e. a change made on the order, order is saved, fill is clicked).
Reversal of Claims for Test Transactions in Batch FastClaims
Added logic for the reversal of a test transaction in Batch FastClaims. To use, set the following in Reports/Third Party Billing Forms/type BFC.
Select Option - Test Transaction = YES
Print Option - Reverse Claim
Added logic to Batch File Updates (System Utilities, Batch Record Updates, Transaction) to select a test transaction. Set Test Transaction to YES.
Delivery Sheets Store ID
Added the ability to send the store's NCPDP Number to DeliveryTrack when using Consolidated, Transaction, or Fill List Delivery Sheets.
Rx Alert Note in Workflow
Control whether to display Rx Alert Notes in Label and Dispensing and Quality Assurance Queues at the facility or store level.
Added an option, Display Rx Alert Note, in both Label and Dispensing and Quality Assurance Checking Setup screens on the Facility Record/Workflow Queue Setup and Store Options/Workflow Options screens. Default = Checked. Select for the Rx Alert Note to display within the selected Workflow Queue. If set at the facility level, the system displays the Rx Alert Note for any patients in that facility. Otherwise, it defaults to the store level setting (below).
Added an option, Display Rx Alert Note, to Store Level Options/Workflow Queue Setup/Label and Dispensing and Quality Assurance Check Control Options hyperlink. The setting on the Facility Record overrides this one.
Rx Alert Notes for Reassigned Prescriptions
Added an option, Copy Rx Alert on Reassign, to Store Level Options/Rx Processing. Default = Unchecked. Select to copy Rx Alert Notes over to new prescriptions after a reassign. The date and time from the original Rx Alert is copied over to each subsequent prescription. Rx Alert Notes also carry over for discontinued and reassigned prescriptions during the Fill Lists process if this option is selected.
Batch 835 Reconciliation Price Plan Groups
Enhanced 835 Reconciliation to allow Price Plans to be attached to groups so that reversals can be applied to more than ten plans.
Added two folders, 835 Current and 835 Archive, to the QS1 Application Data folder on the server. The 835 file must be saved in the 835 Current folder in order to use Price Plan Groups for Batch Reconciliation. Once processed, the 835 file is automatically moved to the 835 Archive folder.
Added an option, Price Plan Group Utility, to Store Control, Pricing Options. Access to set up Price Plan Groups to use when processing Batch 835 File Reconciliation reversals. Click the Add Price Plans button to access the Add Price Plan(s) window. The scan that displays can be sorted by Name or Bin Number. Select one or multiple Price Plans by double clicking or pressing the corresponding function key; click Add Selected.
Added an option, Price Plan Group, to the Price Plan/General Information screen. Select the double arrows to assign a group created in the Price Plan Group Utility.
Added an option, Batch 835 Reconciliation, to System Utilities/Reconciliation. Under this option are two sub menus; Process 835 Files and Archived 835 Files. Click Process 835 files to access the Batch Process 835 Files screen to begin the Batch 835 Reconciliation process. The files from the 835 Current folder display, along with # of Claims, Amount Paid, Payment Method, Paid Date, Payer Name, and Price Plan Group Name. Select the box next to the files to process. Use the Price Plan Group Name column to select the Price Plan Group Name to associate with the 835 to process reversals. Click the Select All button if you want to process all files. Once ready, click Process to begin. A backup prompt displays. A Transaction File backup is highly recommended. Click Yes if okay with prescription processing being interrupted to proceed with a backup of the Prescription Transaction File. Time varies depending on the size of your Transaction File. Click No to bypass the backup and continue with the batch. Click Cancel to perform the batch later. The system matches the Primary, Secondary, and Tertiary Paid Amounts in the 835 file with the claims based on Rx # and Date Filled on the Transaction for posting payments and adjustments of claims. For reversals, posting requires an additional match of the Transaction Price Plan in the Price Plan Group associated with the file and the paid amount.
Added a screen, Archived 835 Files, accessed from System Utilities/Reconciliation/Batch 835 Reconciliation. Double click or press the corresponding function key to view details.
Added a History tab to the Reconciliation Information. Click Recon Info from the Transaction/General Information screen to access. Select the posting date under the 835 File Date heading to view details. Added a link, Reason Code Definition, to the History tab as well as the existing Primary, Secondary, and Tertiary tabs. Click to be directed to www.x12.org for a full list.
View Drug Cabinet at New Order Entry
Select drugs from the Dispensing Drug Cabinet List during order entry to make choosing the correct drug more efficient.
Added an option, Disp Drug Cabinet List, to the Facility Record. Default = Unchecked. If selected, the Dispensing Drug Cabinet Scan from the facility displays during new order entry. The NDC and Med ID display in both the Dispensing Drug Cabinet Scan in new order entry and the Dispensing Drug Cabinet List from the facility. Otherwise, the Scan Drugs screen continues to display during new order entry.
Renamed the field, Pyxis Drug List to Dispensing Cabinet Drug List.
High Dollar Alert
High Dollar Alerts can now be set for specific facilities. The same logic applies to the High Dollar Alert setting in Store Level Options/Pricing added in 19.1.12. The facility setting, if being used, overrides the Store Level Option.
Added the following High Dollar Alert option/fields to the Facility Record/Additional Information:
High Dollar Alert in Tickler/Workflow - Default = N. Select to use the alert capability. Must be selected in order for the two options below to be available.
Alert if First Fill Greater than Amount - Default = .00. This option only applies to the first fill of the prescription. If the prescription amount exceeds the amount entered here, the system sends an alert to the Tickler File or the Workflow Record (if the pharmacy uses Workflow). If using Workflow, the system sends the alert as a Workflow message and the item is sent to Error Resolution. If not using Workflow, a tickler message is entered. If the prescription is a cash item, the total amount is checked. But, only the copay is checked if the item is a third party prescription.
Alert if Increase
Greater than Previous Amount = .00. This option applies to refills.
If the difference between the patient dollar amount and the amount
entered here increases in comparison to the patient amount on the
previous fill, the system sends an alert to the Tickler File or the
Workflow Record (if the pharmacy uses Workflow). If using Workflow,
the system sends the alert as a Workflow message and the item is sent
to Error Resolution. If not using Workflow, a tickler message is entered.
If the prescription is a cash item, the total amount is checked. But,
only the copay is checked if the item is a third party prescription.
If the prescription has been discontinued and reassigned, the system
checks the previous amount from the last fill of the discontinued
prescription.
Batch prescriptions are checked. If the total amount for a batch increases
above the dollar amount entered for this option, the system sends
an alert. Batches that have a different number of prescriptions in
them than previous batches are not checked.
Insurance Response
View more insurance details right from the Transaction with the new Insurance Response Details screen. Click the View Insurance Response Details link from the Primary, Secondary, or Tertiary Billing screens to access the Insurance Response Details screen:
Approved Message Codes (formerly displayed on the billing screens on the Transaction)
Reject Codes/Descriptions - Up to 40 characters display.
Free Text from Third Party - Free Text fields for text boxes 1-3 for primary, secondary, and tertiary added to Select, Sort, and Print Options in Reports.
Added a section, Last Submitted Patient Insurance Information, to the Billing
(Primary, Secondary, and Tertiary) screen to include:
Policy ID Number
Group Number
Person Code
Added the following billing screens on the Transaction. They update once the claim is retransmitted:
Policy ID Number
Group Number
Person Code
Added a field, Treatment Type, to the Transaction/Additional Information screen. Display field only for a 2-digit Treatment Type. This entry is pulled from the Rx Summary. If the entry on the Rx Summary changes, this field stays the same until the Transaction is updated.
Added Select, Sort, and Print Options for third party free text for primary, secondary, and tertiary.
Added new Transaction fields for Custom Reports and security tracking:
Primary Policy ID Number
Primary Group Number
Primary Person Code
Secondary Policy ID Number
Secondary Group Number
Secondary Person Code
Tertiary Policy ID Number
Tertiary Group Number
Treatment Type
Transaction Notes
Store important notes and automatically display them on the Transaction.
Added a screen, Transaction Note, accessible by the new vertical bar icon, Transaction Note on the Transaction. Enter a note up to 200 characters. Only one note can be added to a Transaction at a time.
Added an option, Automatically show Transaction Notes, to Store Level Options/Rx Processing. Default = Unchecked. If selected, the Transaction automatically defaults to the Transaction Note screen instead of the General Information screen.
Added a tab, Transaction Note, to Filling Options. Click to add a note when filling a prescription. The Note is saved once the Fill function is used.
Added Security Access Flags, Transaction Notes, Add Transaction Notes, and Edit Transaction Notes. If the Transaction Notes option is selected, both Add and Edit Transaction Notes are automatically selected. Both Add and Edit Notes default to checked for pharmacists. Only Add Transaction Notes is defaulted to checked for technicians. Neither option is selected by default for general users.
Added a Note indicator to the Transaction History scan. Displays for transactions with notes. Select the transaction to edit or view the note.
Added options in Custom Reports for Notes:
Note text
Tx number
Created by
Create date/time
Last edited by
Lst edit dte/time
Short Cycle Indicator
Added a Short Cycle heading to the top of the Rx Summary when in Verify New Order if the Short Cycle flag is selected.
Submission Clarification Code
Set whether to send the Submission Clarification Code by facility. Added an option, Submit SCC from Rx, to the Facility Record/General Information. If selected, the system attaches the SCC code selected on the Facility to the Rx Summary for submission and overrides the setting for the same flag in Store Level Options.
Transaction Count Report Option
Added Transaction Count as an available Select, Sort, and Print Option in Customized Reports and Data Exports. Enter the Seq Nbr from the Transaction to run a report based on the transaction sequence number.
Treatment Type Label Routine
Added a label routine, 805, to print Treatment Type from the Additional Prescription Information screen. Displays as Tmnt Type and the 2 digit-code on the label.
Multi-Point QA Check
Patient safety and accurate
prescription verification are a priority of QA Multi-Point Check.
Added Multi-Point QA Checks to Store Level Options and the Facility Record. The Facility setting overrides the Store.
Added an option, Multi-Point QA Check, to Store Level Options (and Facility), Workflow Queue Setup. Default = Unchecked. Select and click Save and the option displays a link. Click to access requirement choices for New and Refill Prescriptions. Defaults to all checked. Security Access applies. At least one option must be checked.
The Multi-Point QA Check screen displays once the prescription is selected from the QA Queue and processed. Verify the information is correct and select each section. Click Complete from this screen or the Rx Summary. The date, time, and user information is recorded for items such as Security Journals and Transactions just as they are when items are completed through a standard QA. If the Multi-Point QA Queue is turned off in Store Level Options but items remain, they go through the standard QA Queue.
Added a header, Multi-Point QA Check, to the Rx Summary/Additional Info and Rx Transaction when in use.
Auto-Participating Flag on Facility for TI Patients
Automate Therapeutic Interchange for patients with the new All Patients Participating option on the Facility/Therapeutic Interchange screen. Default = Unchecked. Added the following coordinating options.
Added a section, TI Wing List, to the Facility/Therapeutic Interchange screen. Enter up to 10 wings to automatically participate in Therapeutic Interchange.
New Patients
If the All Patients Participating option is selected and the patient is in a wing that is entered in the TI Wing List, the system automatically sets to Patient Record Therapeutic Interchange option to P - Participating.
Existing Patients
If the All Patients Participating option is selected and the patient is in a wing that is entered in the TI wing List, a message displays if the Patient Record Therapeutic Interchange option is not set to P - Participating. Respond with the appropriate button. Added a button, Do Not Show, to the message window. Click and the prescription displays with the prescribed drug and the Therapeutic Interchange option on the Patient Record is set to Not Participating. The message does not display if another script with a TI opportunity until Therapeutic Interchange is set to Undetermined.
Written Quantity on eRX Hardcopy
Updated the eRx hardcopy as per state requirement to include the quantity as alpha characters in addition to the numeric quantity. The Refills and DAW fields print a line below their prior positions.
Delivery Sheets
Added the ability to send the store's NCPDP number to DeliveryTrack when using Delivery Sheets. To use, type YES for the Delivery Svc Print Option in Delivery Sheets.
FastClaim Status
Updated the Rx Processing Tasks screen and Electronic Claims Log screens so that the FastClaim Status is more visible.
Moved the FastClaim Status option from the Rx Processing Tasks screen to FastClaim Options in Store Level Options/FastClaim. Default = Normal.
Note: The FastClaim Status can no longer be changed from the Prescription Processing screen.
The Warning
message that displays when the FastClaim Status is
changed explains what affect the FastClaim status will have on claims.
Any status other than Normal displays the following indications in the
new location on the Rx Processing Tasks screen:
Delayed Mode
Delayed Mode (Terminal Only)
Transmission Mode
Fill List Transactions to Error Resolution
Use Error Resolution to streamline the removal of test transactions for Fill Lists.
Added an option, Send Fill List Test Tx's to Error Resolution, to Facility Record Workflow Options. Select to send Fill List transactions to Workflow. Note: Auto Create Test Transaction in Routine or Short Cycle Fill List on the Facility/Fill List Options/Misc Options must be selected to use.
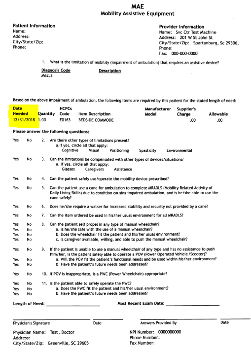
HME Documentation
Updated HME forms by changing the service dates to date filled to improve accuracy. Click here to view areas changed.
Rhode Island PMP
Updated the system to the 4.2a format for RI PMP. These fields are now reported:
PHA13 - Pharmacy Permit/License Number
DSP22 - Quantity Prescribed
DSP24 - Treatment Type
DSP25 - Diagnosis
Code (IDC-1- or CDT)
GCN 004513 for Naloxone and other opioid antagonists are reported to PMP regardless of the Send in PMP option being unchecked or if they are not on the FDB Drug of Concern list.
Room Number on Rx Summary
Added the ability to view the Room Number (Rm#) from the top tab of the Rx Summary so that it can easily be viewed from any Rx Summary screen.
Added an option, Show RM# on Rx Summary, to the Facility Record/Additional Information. Select to display the Room# on the Rx Summary.